05 - Paralelismo y perpendicularidad de vectores
– Dos vectores son paralelos cuando sean proporcionales
![]()
– Dos vectores son ortogonales (perpendiculares) cuando su producto escalar sea nulo
![]()
– Obtener un vector ortogonal a uno dado
Dado el vector
, se puede conseguir un vector ortogonal a
de la siguiente forma: ![]()
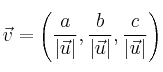
– Obtener un vector unitario y paralelo a uno dado.
Dado el vector
, podemos conseguir un vector paralelo a
y además unitario (de módulo 1) de la siguiente forma:

Mensajes
16 de enero de 2020, 16:40, por Yo
me habéis salvado el examen de mañana