Funciones y Gráficas
Funciones y gráficas de 3º ESO
Calcula la ecuación de las rectas que aparecen en la siguiente imagen:
Comprueba algebraicamente si los siguientes puntos están en la misma recta:
y ![]()
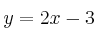
Representa gráficamente la función:
![]()
El peso del cuerpo en la Tierra y en Marte son directamente proporcionales. Se sabe que un 1 kg de peso de la Tierra equivale 0.279 kg en Marte.
(a) Determina una fórmula que relaciona el peso de un cuerpo en Marte con el peso del mismo cuerpo en la Tierra.
(b) ¿Cuánto pesaría en Marte una persona que pesa 80 kg en la Tierra?
(c) Si un astronauta pesa 27.5 kg en Marte, ¿cuál sería su peso real en la Tierra?
Resuelve gráficamente y analíticamente el sistema de ecuaciones que determinan las rectas:
![]()
Una jugadora de baloncesto tira a canasta y la trayectoria que sigue el lanzamiento va según la función
; en base a esto calcule:
a) Las componentes de su vértice.
b) Los puntos de corte con los ejes.
c) Dibuje la gráfica de la función ayudándose de la tabla

d) ¿Cuál es el punto más alto al que llegará el balón?
e) Si la canasta está en el punto (2,3), ¿logrará encestar?; Razone su respuesta.