• Apuntes
  • Vídeos
  • Ejercicios
    • Resueltos
    • Por Curso
      • 1º ESO
      • 2º ESO
      • 3º ESO
      • 4º ESO
      • 1º BACH. CIENCIAS
      • 1º BACH. SOCIALES
      • 2º BACH. CIENCIAS
      • 2º BACH. SOCIALES
  • Más recursos
    • Actividades Interactivas
    • Selectividad (PAU)
    • Acceso Mayores 25
    • LaTeX
Inicio ›EJERCICIOS de Matemáticas ›1º BACH. SOC. ›Funciones ›Asíntotas hipérbola

Asíntotas hipérbola

asíntotasEjercicios_Resueltosfunciones

Halle las asíntotas de la función \frac{3-x}{2-x}

SOLUCIÓN

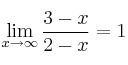
Asíntota horizontal \fbox{y=1} porque \lim_{x \rightarrow \infty} \frac{3-x}{2-x} = 1

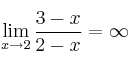
Asíntota vertical \fbox{x=2} porque \lim_{x \rightarrow 2} \frac{3-x}{2-x} = \infty

Comentar el ejercicio

  • 1º BACH. SOC.
    • Funciones
    • Inecuaciones
    • Logarítmos
    • Números Reales
    • Polinomios
    • Estadística
    • Probabilidad
    • Variables Aleatorias Unidimensionales
    • Ecuaciones y Sistemas
    • Límites y Derivadas
    • Exámenes
    • Variables Aleatorias bidimensionales
    • Matemática Financiera
  • Mapa del sitio
  • Conectarse
  • 2001-2026 — Matemáticas IES — Contactar con Dani