Logarítmos
(43) ejercicios de Logarítmos
-
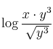
Sabiendo que
y que
, calcula 
-
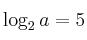
Calcula el valor de
en las siguientes expresiones:
– a)
– b)
-
Calcula los siguientes logarítmos:
– a)
– b)
-
Sin calculadora, usando las propiedades de los logarítmos y sabiendo que
y
, calcula:– a)
– b)
– a)
-
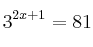
Resuelve la ecuación

