Funciones
(51) ejercicios de Funciones
-
El valor, en miles de euros, de las existencias de una empresa en función del tiempo t, en años, viene dado por la función:

– a) ¿Cuál será el valor de las existencias para
? ¿Y para
?
– b) ¿Cuál es el valor máximo de las existencias? ¿En qué instante se alcanza?
– c) ¿En qué instante el valor de las existencias es de 185000 euros? -
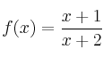
Sea la función
– a) Representa gráficamente la función
– b) Calcula asíntotas, dominio, corte con los ejes y monotonía -
Sea la función:

– a) Representación gráfica
– b) Indica Dominio, Corte con los ejes, Asíntotas, Monotonía y Extremos -
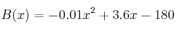
El beneficio obtenido por la producción y venta de x kilogramos de un artículo viene dado por la función:

– a) Representa gráficamente esta función.
– b) Determina el número de kilogramos que hay que producir y vender para que el beneficio sea máximo.
– c) Determina cuántos kilogramos se deben producir y vender, como máximo, para que la empresa no tenga pérdidas. -
Dibuja la gráfica de las siguientes expresiones algebraicas (reflejando todos los cálculos necesarios antes de dibujarlas).
– a)
– b)
– c)
