Polinomios
(49) ejercicios de Polinomios
-
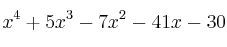
Factoriza los siguientes polinomios:
– a)
– b)
-
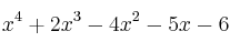
Factoriza los siguientes polinomios:
– a)
– b)
-
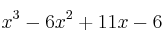
Factoriza los siguientes polinomios:
– a)
– b)
-
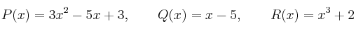
Sean los polinomios:

Calcula:
– a)
– b)
– c)
-
Calcula
,
y
para que se verifique la igualdad:

