• Apuntes
  • Vídeos
  • Ejercicios
    • Resueltos
    • Por Curso
      • 1º ESO
      • 2º ESO
      • 3º ESO
      • 4º ESO
      • 1º BACH. CIENCIAS
      • 1º BACH. SOCIALES
      • 2º BACH. CIENCIAS
      • 2º BACH. SOCIALES
  • Más recursos
    • Actividades Interactivas
    • Selectividad (PAU)
    • Acceso Mayores 25
    • LaTeX
Inicio ›EJERCICIOS de Matemáticas ›1º BACH. SOC. ›Límites y Derivadas ›Calcular Derivadas

Calcular Derivadas

derivada de una funciónEjercicios_Resueltosfunciones

Calcula las siguientes derivadas y simplifica el resultado cuando se pueda:

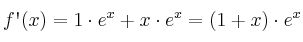
– a) f(x) = x \cdot e^x
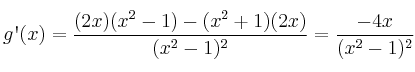
– b) g(x) = \frac{x^2+1}{x^2-1}

SOLUCIÓN

– a) f\textsc{\char13}(x) = 1 \cdot e^x + x \cdot e^x = (1+x) \cdot e^x
– b) g\textsc{\char13}(x) = \frac{(2x)(x^2-1)-(x^2+1)(2x)}{(x^2-1)^2}=\frac{-4x}{(x^2-1)^2}

Comentar el ejercicio

  • 1º BACH. SOC.
    • Funciones
    • Inecuaciones
    • Logarítmos
    • Números Reales
    • Polinomios
    • Estadística
    • Probabilidad
    • Variables Aleatorias Unidimensionales
    • Ecuaciones y Sistemas
    • Límites y Derivadas
    • Exámenes
    • Variables Aleatorias bidimensionales
    • Matemática Financiera
  • Mapa del sitio
  • Conectarse
  • 2001-2026 — Matemáticas IES — Contactar con Dani