• Apuntes
  • Vídeos
  • Ejercicios
    • Resueltos
    • Por Curso
      • 1º ESO
      • 2º ESO
      • 3º ESO
      • 4º ESO
      • 1º BACH. CIENCIAS
      • 1º BACH. SOCIALES
      • 2º BACH. CIENCIAS
      • 2º BACH. SOCIALES
  • Más recursos
    • Actividades Interactivas
    • Selectividad (PAU)
    • Acceso Mayores 25
    • LaTeX
Inicio ›EJERCICIOS de Matemáticas ›1º BACH. SOC. ›Límites y Derivadas ›Calcular derivada

Calcular derivada

derivada de una funciónEjercicios_Resueltos

Calcula la derivada de la función
y = Ln \: \left( \frac{2-5x^2}{4}  \right)

SOLUCIÓN

Aplicamos la fórmula

\fbox{y=Ln(u)  \longrightarrow y^\prime=\frac{u^\prime}{u}}

y = Ln \: \left( \frac{2-5x^2}{4}  \right)

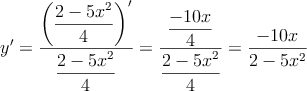
y^\prime = \dfrac{\left( \dfrac{2-5x^2}{4}\right)^\prime}{\dfrac{2-5x^2}{4}} = \dfrac{\dfrac{-10x}{4}}{\dfrac{2-5x^2}{4}}=\frac{-10x}{2-5x^2}

Comentar el ejercicio

  • 1º BACH. SOC.
    • Funciones
    • Inecuaciones
    • Logarítmos
    • Números Reales
    • Polinomios
    • Estadística
    • Probabilidad
    • Variables Aleatorias Unidimensionales
    • Ecuaciones y Sistemas
    • Límites y Derivadas
    • Exámenes
    • Variables Aleatorias bidimensionales
    • Matemática Financiera
  • Mapa del sitio
  • Conectarse
  • 2001-2026 — Matemáticas IES — Contactar con Dani