• Apuntes
  • Vídeos
  • Ejercicios
    • Resueltos
    • Por Curso
      • 1º ESO
      • 2º ESO
      • 3º ESO
      • 4º ESO
      • 1º BACH. CIENCIAS
      • 1º BACH. SOCIALES
      • 2º BACH. CIENCIAS
      • 2º BACH. SOCIALES
  • Más recursos
    • Actividades Interactivas
    • Selectividad (PAU)
    • Acceso Mayores 25
    • LaTeX
Inicio ›EJERCICIOS de Matemáticas ›1º BACH. SOC. ›Límites y Derivadas ›Calcular función derivada

Calcular función derivada

derivada de una funciónEjercicios_Resueltos

Calcula la derivada de las siguientes funciones:

– a) f(x) = -3x^4+5x^3-8x^2-x+3
– b) g(x) = (2x^5-3) \cdot (x^4-x^2)

SOLUCIÓN

– a) f\textsc{\char13}(x) = -12x^3+15x^2-16x-1
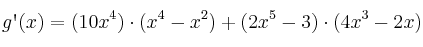
– b) g\textsc{\char13}(x) = (10x^4) \cdot (x^4-x^2) + (2x^5-3) \cdot (4x^3-2x)

Comentar el ejercicio

  • 1º BACH. SOC.
    • Funciones
    • Inecuaciones
    • Logarítmos
    • Números Reales
    • Polinomios
    • Estadística
    • Probabilidad
    • Variables Aleatorias Unidimensionales
    • Ecuaciones y Sistemas
    • Límites y Derivadas
    • Exámenes
    • Variables Aleatorias bidimensionales
    • Matemática Financiera
  • Mapa del sitio
  • Conectarse
  • 2001-2026 — Matemáticas IES — Contactar con Dani