Castillos de fracciones
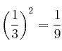
Realiza las siguientes operaciones y simplifica el resultado.

SOLUCIÓN
Hacemos operaciones aparte



Entonces tenemos:






![]()
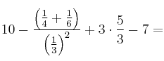
Realiza las siguientes operaciones y simplifica el resultado.

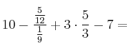
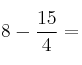
Hacemos operaciones aparte



Entonces tenemos:






![]()