Corte con los ejes de coordenadas
Calcula los puntos de corte con los ejes de coordenadas de las siguientes funciones:
– a)
– b)
– c)
– d)
– e)
– f)
– g)
– h) ![]()
SOLUCIÓN
Para calcular los puntos de corte hacemos
y calculamos
(para el otro eje hacemos
y calculamos
)
– a) ![]()
. Corte ![]()
. Corte ![]()
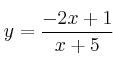
– b) ![]()
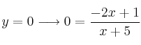
. Corte ![]()
y
. Corte
y ![]()
– c) ![]()
. Corte ![]()
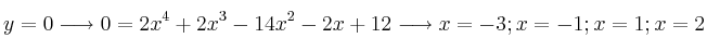
. Corte
;
;
; ![]()
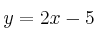
– d) 
. Corte 
.
Corte
– e)
La función se puede simplificar quedando
Por tanto los puntos de corte son
y ![]()
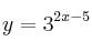
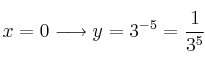
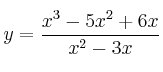
– f)
La función se puede simplificar quedando 
. Corte ![]()
. Corte ![]()
– g) ![]()
. Corte
(No tiene solución. No corta)
– h) ![]()
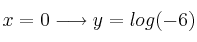
. (No corta. No existe logaritmo de número negativo)
Corte ![]()