Dividir fracciones
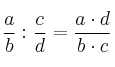
Para dividir una fracción por otra, se multiplica la primera por la inversa de la segunda.

Cociente de fracciones
cómo dividir fracciones
matematicasies.com
Ejemplo:

Para dividir una fracción por otra, se multiplica la primera por la inversa de la segunda.

Ejemplo:
