Simplificar fracciones
– Simplificar una fracción es convertirla en una fracción equivalente más sencilla.
– Para simplificar una fracción dividimos numerador y denominador por el mismo número
– La fracción simplificada se debe seguir simplificando hasta llegar a una fracción irreducible (ya no se puede simplificar más)
– Aunque se puede empezar a simplificar dividiendo por cualquier número, se debe seguir un orden lógico (por ejemplo los primos: 2, 3, 5, ..), es decir, probamos a dividir ambos entre 2 mientras se pueda, después pasamos al 3 y así sucesivamente.
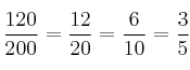
– Veamos algunos ejemplos:
A veces se pueden hacer simplificaciones rápidas, por ejemplo cuando numerador y denominador terminan en cero(s)

– Método 2: Otra manera de simplificar fracciones es factorizar numerador y denominador e ir eliminando los factores iguales de arrriba y abajo

– Método 3: Otra forma de simplificar es hallar la fracción irreducible directamente. Para ello dividimos numerador y denominador por el M.C.D. de ambos
![]()

Mensajes
23 de agosto de 2011, 00:53, por camila
Como se llama la cancion? :) me gusta!
23 de agosto de 2011, 06:21, por dani
LA canción es "Calls To Spirit" de Laura Sullivan
8 de noviembre de 2011, 22:08, por sabri
hola.. me parece que la pagina esta hecha para comentar y/o ayudar a las personas.NO para hablar de tonterias o de ¿como se llama la canción?SIN OFENDER A NADIE!!!
23 de enero de 2012, 09:31
que tonteriaaaaaa
1ro de febrero de 2012, 00:37, por bianca
como simplifico 6-16 y 8-18 5-10
26 de abril de 2012, 00:38, por Rocio
como yo lo entiendo no hay que buscar denominador.... sinplemente de cada fracción se reduce a fracción mas pequeña
26 de abril de 2012, 01:17, por ALEJNDRA
para crear frcciones simplificadashay que reducir el nivel del numero,tambien es para convertirla en fraccion mas pequeña,para empezar una amplificacion debemos empezar por el numerado y luego por el denominador por el mismo numero
hay que empezar por los numeros primos ej.2,3,5 primero pasamos al dos y luego al tres si nos sirve el dos lo dejamos y si no cambiamos por el tres y asi sucesibamente
espero que te sirva ADIOS
4 de marzo de 2016, 16:59, por yaleisa
eso es un disparate y perdon
5 de abril de 2017, 01:24, por EduardoÜCésar
Disculpa cual cancion
5 de septiembre de 2011, 17:12
wo... no entiendo..
Aunque viene un video, no explican como hacerlas por si solas.. jum!
13 de septiembre de 2011, 01:17, por carolinix
te entiendo
8 de mayo de 2013, 22:13, por bochinche14
dios mio que es esta respuesta no tienen imaginacion
13 de septiembre de 2011, 01:16, por carolinix
+ despacio que mi cabza se llena de humo ja ja
24 de octubre de 2011, 23:00, por Analia
Wooow no Enteendi nadadas !
11 de marzo de 2012, 21:38, por sdfsf
Tenemos: 1/6 + 1/8 nos da en el numerador: (8)(1)= 8 y (6)(1) = 6 que sumados es 14, mientras que en el denominador tenemos (6)(8) = 48 luego el resultado es 14/48 y dividiendo entre 2 tanto el numerador como el denominador tenemos 7/24
CONTESTADO...
4 de abril de 2013, 21:02
yo tampoco kajajajaj etamo en la misma jaj
5 de noviembre de 2011, 19:31, por enana
como es k si yo tengo 1/6 + 1/8= a 7/24 de donde salen esos dos numeros
10 de noviembre de 2011, 21:13, por Margarita
2/18 + 5/30=
1º Se halla el m.c.m.(18 y de 30)(denominadores)que es 90.
2/90 + 5/90=
2º Se divide 90 (m.c.m) por el denominador de cada fracción,es decir 90:18 = 5 y el resultado se multiplica por el numerador 5x2=10 siendo éste el numerador de la 1ª fracción. Con la 2ª haremos lo mismo. El denominador común lo dividimos por el denominador de la segunda fracción y el resultado lo multiplicamos por el numerador de la 2ª fracción y así conseguimos el numerador resultante.
= 10/90+15/90=
= 25/90 Resultado.
Seria igual si tuvieras 3,4,5 ... fracciones.
Acuerdate de simplificar siempre, hasta que sea irreducible.
13 de diciembre de 2011, 01:45
Tenemos: 1/6 + 1/8 nos da en el numerador: (8)(1)= 8 y (6)(1) = 6 que sumados es 14, mientras que en el denominador tenemos (6)(8) = 48
luego el resultado es 14/48 y dividiendo entre 2 tanto el numerador como el denominador tenemos 7/24
CONTESTADO...
20 de septiembre de 2012, 01:22, por lourdes sanchez reyes
me podrian ayudar a simplificar estas fracciones
120/240
27 de septiembre de 2012, 18:46, por nery
120/240 = 60/120=30/60=15/30=5/10
2 de octubre de 2012, 18:57, por andrea
una pregunta alguien me podria ayudar con esta operacion:1/2.(-3/4)+1/2.3/5-4/3.1/2 lo agradecería muchísimo tengo un examen este jueves y no lo entiendo.
21 de noviembre de 2012, 01:20
gracias ahora ya lo entendi pero al principio si me revolvi y no le entendia.grxiiiiiiiiiiiiiiiiiiiiiiiiiiiiiiiiiiiiiiiiiiiiiiiiiiiiiiiiii
23 de noviembre de 2012, 18:28
porque el minimo comun multiplo de los denominadores es 24 asin que ese se pone abajo.luegos se divide el 24 entre el 6 y sale 4 y le tienes que multiplicar el 1 del numerador y despues se divide el 24 entre el 8 y se le multiplica el 1 del otro numerador.paso por paso:
1/6 + 1/8= 4/24 + 3/24= 7/24
24:6=4*1=4
24:8=3*1=3
4 de abril de 2013, 20:49, por tonete1
1/2 es lo mismo y más simplificado que 5/10
13 de octubre de 2019, 16:15, por :3 :) :v
me ayudan a complificar las fracciones 8/10,6/8,7/4 por cada uno de llos siguientes números 1,2,3,4,5,6. porfis
6 de noviembre de 2011, 17:01
No está bien echo porqué no te explica como se hace en el video!!
8 de mayo de 2013, 22:16, por bochinche14
que nada se entiende¿¿¿¿¿
24 de julio de 2013, 23:34
si sse entiende
21 de octubre de 2013, 18:35, por Mohamed
lo entiendo porque soy listo.
jajajajjaja.
18 de septiembre de 2014, 05:05, por pollo
Porqe se multiplica por dos o por cuatro el numerador de la primer fraccion de una suma para qe de resultado una fraccion simplificada y lla no hacer el desarrollo completo de la suma
6 de octubre de 2014, 23:59, por asdfghjklñ
mmm...quien sabe amigo la vida es asii xDD
18 de septiembre de 2014, 05:17, por pollo
Esplicarme como se resuelve esto y porqe
2/4+3/8=7/8 segun esta se multiplica el numerador de la primera por dos y se suma el segundo numerador y denominador se pone el mayor
Y esta se multiplica por cuatro con la misma mecanica
2/4+3/8=11/8
Comparando resultados no son equivalentes ni por simplificacion y si desarrollamos la suma el primer resultado es el correcto pero segun el profe las dos son lo mismo
QUE AGUIEN ME EXPLIQUE
como se resuelve y porqe el por dos o por cuatro
GRACIAS
27 de abril de 2015, 05:27, por allison
alguien me puede simplificar 1798/4495 por fa
30 de julio de 2015, 17:10, por lostruth
Los dos son divisibles por 899. Entonces la solucion sería 2/5
1ro de agosto de 2015, 17:56, por santiago duque
no le entendi nada pero me gusto su
video
8 de octubre de 2015, 01:57, por david tumbaico
ese maestro intelijente pero por k se eleba al meor exponente y no al mayor
4 de noviembre de 2015, 22:14, por ROSA GAITAN
NECESIT0 SIMPLIFICAR Y RESOLVER ESTAS OPERACIONES 12/16 +9/18 10/15+21/7
25 de enero de 2016, 15:37, por Carlota
Cual es la simplicacion de:20 denominador 36 numerador
6 de febrero de 2016, 21:48, por katerine
Solo simplifica cuando esta en fraccion .
Cuando se saca el mcm de de unas fracciones el ejm: 365 ,, se simplifica para rsolverla .
12 de mayo de 2016, 01:20, por STEILY
gracias por ayudarme que DIOS te bendiga DIOS te page
24 de mayo de 2016, 21:51, por isabella garcia muñoz
hola me pueden hacer una fvor cual es el simplificado de las siguientes fracciones
2/12 3/6 4/6 9/1
31 de mayo de 2016, 21:51, por Everardo
« « ¿Cómo se puede simplificar 13/14 (Trece catorceavos)?» »
7 de junio de 2016, 23:21, por Monika Vallesilla
Eso no me sirvió para naaaaaaa
17 de agosto de 2016, 02:15, por FANELI
MUCHAS GRACIASSSSSSSSSSSSSSS LO NECESITABA1!!!!!!!!!!!!!!!!!!!!!
30 de septiembre de 2016, 21:54, por july
no me sirvio
14 de octubre de 2016, 17:42, por martha
Gracias por nada:(
18 de noviembre de 2016, 21:54, por baeza hernandez
hola me podrian ayudar como descomponer estos factores 25!-19 de manera que se pueda simplificar
27 de agosto de 2018, 22:35, por Paula katalina ordoñez solano
Como se simplifica esta fraccion 7/5+4/5+8/5me pueden ayudar es para mañana