Multiplicar fracciones
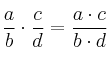
Al multiplicar dos o más fracciones obtenemos otra fracción que tiene:
– como numerador: el producto de los numeradores
– como denominador: el producto de los denominadores

Producto de fracciones
cómo multiplicar fracciones
matematicasies.com
Ejemplo:
