Ejercicio binomial 4635
Lanzamos un dado de quinielas (111xx2)(6 caras: 3 unos, dos equis y un dos) 14 veces. Calcula la probabilidad de obtener 14 doses.
SOLUCIÓN
Se trata de una Binomial con n=14 y probabilidad de éxito 1/6
![]()

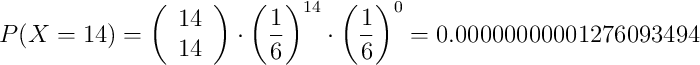
Lanzamos un dado de quinielas (111xx2)(6 caras: 3 unos, dos equis y un dos) 14 veces. Calcula la probabilidad de obtener 14 doses.
Se trata de una Binomial con n=14 y probabilidad de éxito 1/6
![]()
