• Apuntes
  • Vídeos
  • Ejercicios
    • Resueltos
    • Por Curso
      • 1º ESO
      • 2º ESO
      • 3º ESO
      • 4º ESO
      • 1º BACH. CIENCIAS
      • 1º BACH. SOCIALES
      • 2º BACH. CIENCIAS
      • 2º BACH. SOCIALES
  • Más recursos
    • Actividades Interactivas
    • Selectividad (PAU)
    • Acceso Mayores 25
    • LaTeX
Inicio ›EJERCICIOS de Matemáticas ›1º BACH. SOC. ›Números Reales ›Ejercicios de fracciones 4184

Ejercicios de fracciones 4184

Ejercicios_Resueltosfraccionesoperaciones_con_fracciones

Realiza las siguientes operaciones y simplifica el resultado.
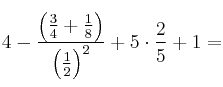
4 - \frac{\left( \frac{3}{4}+\frac{1}{8} \right)}{\left( \frac{1}{2}\right)^2} + 5 \cdot \frac{2}{5}+1

SOLUCIÓN

4 - \frac{\left( \frac{3}{4}+\frac{1}{8} \right)}{\left( \frac{1}{2}\right)^2} + 5 \cdot \frac{2}{5}+1 =
4 - \frac{ \frac{7}{8} }{ \frac{1}{4}} + \frac{5}{1} \cdot \frac{2}{5}+1 =
4 - \frac{ 28 }{ 8} + 2 +1 =
7 - \frac{ 28 }{ 8}  =
\frac{56}{8} - \frac{ 28 }{ 8}  = \frac{28}{8} = \frac{7}{2}

Comentar el ejercicio

  • 1º BACH. SOC.
    • Funciones
    • Inecuaciones
    • Logarítmos
    • Números Reales
    • Polinomios
    • Estadística
    • Probabilidad
    • Variables Aleatorias Unidimensionales
    • Ecuaciones y Sistemas
    • Límites y Derivadas
    • Exámenes
    • Variables Aleatorias bidimensionales
    • Matemática Financiera
  • Mapa del sitio
  • Conectarse
  • 2001-2026 — Matemáticas IES — Contactar con Dani