Errores absoluto y relativo
Averigua quién ha medido mejor:
– Bonsái de 22 cm: hemos medido 18 cm
– Secuoya de 60 m: hemos medido 61 m
SOLUCIÓN
Bonsái
– Error absoluto
– Error relativo 
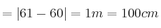
Secuoya
– Error absoluto
– Error relativo 
En la medida del bonsái hay un error de 4 cm y en la medida de la secuoya hay un error de 100 cm.
Sin embargo, la mejor medida la proporciona el error relativo: 18.18% en bonsái y 1.62% en secuoya, por tanto la mejor medida es la de la secuoya (al tener menor porcentaje de error)