Estadística. Desviación típica
Se ha llevado a cabo un control de velocidad en una carretera de la comunidad de Madrid y se ha obtenido los siguientes datos
| Velocidad | 70 | 80 | 90 | 100 | 110 | 120 |
| Nº coches | 5 | 19 | 17 | 35 | 22 | 17 |
– Cree una tabla estadística completa de frecuencias
– Calcule la media y la desviación típica
– ¿Qué porcentaje circula a mas de 90 km/h.?
Exprese los resultados con una aproximación a la centesima
SOLUCIÓN
Creamos una tabla de frecuencias completa donde
son las velocidades y
el número de coches

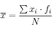
Cálculo la media aritmética: 
![]()
Para calcular la desviación típica necesitamos calcular antes la varianza
Para calcular la varianza usaremos la fórmula:

![]()
![]()
la desviación típica es la raíz cuadrada positiva de la varianza.
La desviación típica se representa por ![]()

![]()
¿Qué porcentaje circula a mas de 90 km/h.?

Si miramos la última columna (porcentajes acumulados), vemos, en rojo, que circulan a 90 o menos el 35.65%
Entonces, a más de 90 km/h circularán