Estadística bidimensional
Tablas de doble entrada

Cálculo de Parámetros
Medias marginales
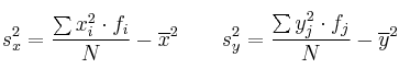
Varianzas marginales

Desviaciones típicas marginales

Diagrama de dispersión o nube de puntos
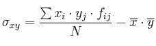
Covarianza

– Covarianza positiva: La nube de puntos se orienta hacia la derecha. Al aumentar los valores de X, también aumentan los de Y.
– Covarianza negativa: La nube de puntos se orienta hacia la izquierda. Al aumentar los valores de X, disminuyen los de Y.
Cálculo de la covarianza [VÍDEO]
Correlación
Es la relación que existe entre ambas variables.
– Correlación funcional: cuando existe una relación funcional entre ambas variables. Todos los puntos de la nube está situados sobre una recta o una curva.
– Correlación directa: si al aumentar una variable, aumenta la otra.
– Correlación inversa: si al aumentar una variable, disminuye la otra.
– Correlación nula: cuando no existe ninguna relación entre las variables.
Coeficiente de correlación de Pearson

– Si
– Si
– Si
Rectas de regresión
Son las rectas que mejor se ajustan a la nube de puntos.
Recta de regresión de Y sobre X

Se usa para obtener una aproximación de los valores de Y, a partir de los valores de X
Recta de regresión de X sobre Y

Se usa para obtener una aproximación de los valores de X, a partir de los valores de Y