Moda
Moda es el valor que más se repite. Se representa por
. La moda no es única (puede haber varias modas)
– Cálculo de la moda para valores simples
Ejemplo 1:
Datos: ![]()
Ejemplo 2:
Datos:
y ![]()
Teclea tu propio ejemplo y te lo calculamos al instante
– Cálculo de la moda para valores con frecuencias
La moda es el valor (
) con mayor frecuancia (
)
El mayor
es
que corresponde al valor ![]()
Por tanto,
![]()

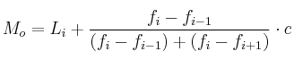
– Cálculo de la moda para valores agrupados en intervalos
– 1) Buscamos la clase modal (intervalo con mayor frecuencia)
– 2) Aplicamos la siguiente fórmula:

: límite inferior del intervalo clase modal
: frecuencia absoluta del intervalo modal
: frecuencia absoluta del intervalo anterior al modal
: frecuencia absoluta del intervalo siguiente al modal
: amplitud del intervalo modal
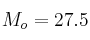
Ejemplo:

– Intervalo modal:
–
–
–
–
– ![]()
![]()
Por tanto ![]()
Mensajes
25 de junio de 2019, 02:23, por Gaby
Como se sustituye la fórmula de la moda si son datos agrupados y la mayor frecuencia está en el primer intervalo?
25 de junio de 2019, 07:43, por dani
Si la clase modal es el primer intervalo entonces
Si la clase modal es el último intervalo entonces
6 de enero de 2020, 14:48, por Genesis
que hacer cuando no hay
f_i-1
6 de enero de 2020, 18:37, por dani
En ese caso le asignaríamos el valor 0: