Mediana (II)
Cálculo de la mediana para valores con frecuencias
1) Necesitamos la columna de las frecuencias absolutas acumuladas (
)
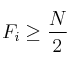
2) Buscamos el primer
tal que
. Una vez localizado, distinguimos dos casos (lo supera o lo iguala):
– Si
– Si 
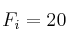
Ejemplo 1
El primer
Como
Por tanto,

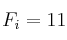
Ejemplo 2
El primer
Como
Por tanto,
