Funciones
(51) ejercicios de Funciones
-
Halla los intervalos de monotonía y los extremos relativos de la función

-
Determina la monotonía y los extremos relativos de la función

-
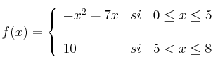
El beneficio esperado de una empresa, en millones de euros, viene dado por la función

donde x representa el tiempo transcurrido en años.
– a) Representa gráficamente la función
– b) Explica cómo es la evolución del beneficio esperado durante esos 8 años y calcula cuándo el beneficio esperado es de 11,25 millones de euros. -
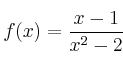
Halla el dominio de las siguientes funciones:
– a)
– b)
– c)
-
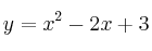
Representa gráficamente las funciones:
– a)
– b)
