Funciones 4º ESO
(46) ejercicios de Funciones 4º ESO
-
Representa gráficamente la función:

-
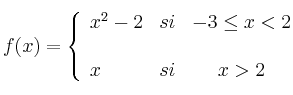
Sea la función:

Se pide:
– a) Representación gráfica
– b) Dominio y continuidad
– c) Corte con los ejes
– d) Monotonía y extremos
-
En la siguiente función dada por una gráfica indica:
– a) Dominio
– b) Continuidad
– c) Corte con los ejes
– d) Monotonía -
En las siguientes gráficas indica monotonía, extremos y puntos de corte con los ejes de coordenadas
-
Representa gráficamente la función:
