Funciones 4º ESO
(46) ejercicios de Funciones 4º ESO
-
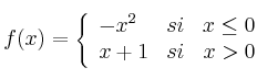
Representa gráficamente la función:

-
Halla la ecuación de la recta que pasa por el punto
y es paralela a la recta 
-
Calcula analíticamente el recorrido de las siguientes funciones:
– a)
– b)
-
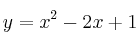
Halla analítica y gráficamente el corte con los ejes de coordenadas de la función

-
Halla analítica y gráficamente el corte con los ejes de coordenadas de la función

