Funciones. Corte con los ejes de coordenadas 4082
Calcula los puntos de corte con los ejes de coordenadas de las siguientes funciones:
– a)
– b)
– c)
– d)
– e)
– f) 
.
SOLUCIÓN
– a)
Si
Corte:
Si
Corte:
– b)
Si
Corte:
Si
Puntos de corte:
y
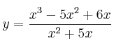
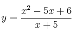
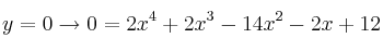
– c)
Si
Corte:
Si
Ecuación de grado 4º que podemos resolver por Ruffini, obteniéndose como soluciones:
Puntos de corte:
,
,
y ![]()
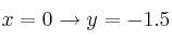
– d)
Si
Corte:
Si
Corte:
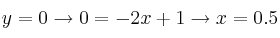
– e)
La función se puede simplificar quedando
Si
. Corte
Si
Si resolvemos la ecuación obtenemos como soluciones 2 y 3.
Por tanto los puntos de corte son
y ![]()
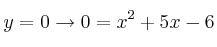
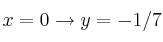
– f)
Si
Corte
Si
Si resolvemos la ecuación obtenemos como soluciones 1 y -6. El 1 no se puede considerar como punto de corte porque no pertenece al dominio de la función.
Por tanto los puntos de corte son ![]()