Geometría en el Espacio
(103) ejercicios de Geometría en el Espacio
-
Demuestra que las siguientes rectas son ortogonales:

-
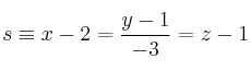
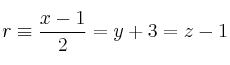
Halla la distancia entre las rectas:

-
Dados los vectores
y
, realiza las siguientes operaciones:–
–
–
–
–
–
-
Dados los vectores
,
.
,
, calcula
de forma que se cumpla: 
-
Dados los vectores
,
y
,– Calcula
– Halla el valor de
para que 
