Geometría en el Espacio
(103) ejercicios de Geometría en el Espacio
-
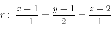
Estudia la posición relativa de las rectas:
y

-
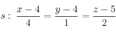
Estudia la posición relativa (y punto de corte en caso de ser secantes) de las rectas:

-
Halla los valores de
y
para que los siguientes puntos estén alineados:
,
, 
-
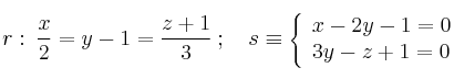
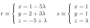
Halla la posición relativa (y punto de corte si existe) de las rectas:

-
Comprueba mediante más de un método si los siguientes puntos están alineados:

