Geometría en el Espacio
(103) ejercicios de Geometría en el Espacio
-
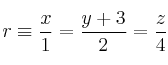
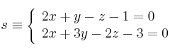
Halla la posición relativa de las rectas:


-
Comprueba que los siguientes vectores forman una base:

-
Comprueba que los siguientes vectores forman una base:

-
Comprueba que los siguientes vectores forman una base:

-
Halla las coordenadas del vector
respecto de la base formada por los vectores
,
y 
