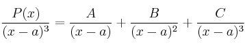
Integrales Racionales con raíces reales múltiples
Cuando al factorizar el denominador obtenemos raíces reales múltiples (al cuadrado, al cubo, etc.), la descomposición en suma de fracciones es de la siguiente forma:

Como el grado de multiplicidad es 3 (al cubo), debemos poner 3 fracciones con denominadores elevado a uno, a dos y a tres.
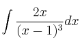
Ejemplo: 

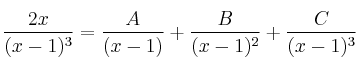
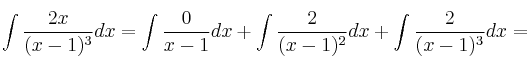
Realizamos la suma

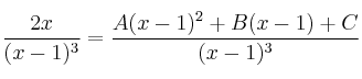
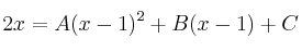
Igualamos numeradores:
![]()
Damos valores a
– Si
– Si
– Si ![]()
Resolvemos el sistema y obtenemos
;
; ![]()
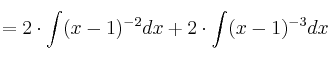
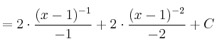
Por tanto:



Las integrales de cada fracción son inmediatas de tipo Neperiano o de tipo Potencia
Mensajes
7 de mayo de 2017, 19:36, por Mario
Hola, quería notificarte que tras despejar A,B y C, haces una frase que resume los valores de esas constantes, pero te has olvidado de poner la letra C, solo dices el valor de A y B, un saludo y gracias por el material que aportas.
8 de mayo de 2017, 09:19, por dani
Gracias por el comentario.
Ya está actualizado.
Un saludo.