Integrar un cociente de polinomios
Para integrar un cociente de polinomios
se usa el método de Descomposición en Fracciones Algebraicas Simples.
Antes de usar el método hay que hacer unas comprobaciones previas:
– Comprobar si se trata de una inmediata tipo Neperiano o tipo arco tangente.
– Si no es una inmediata, mirar grados de numerador y denominador. Para aplicar el método, el grado del numerador debe ser menor.
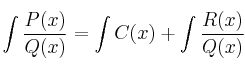
– Si el grado del numerador fuese mayor o igual, tenemos que hacer primero la división de polinomios

y
son el Cociente y Resto de la división de
entre
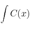
– La integral
será una polinómica sencilla
– A la integral
le aplicaremos el método de descomponer en fracciones simples (pues aquí siempre será el grado del numerador menor)
Método de descomposición en fracciones algebraicas simples
El método consiste en expresar una fracción algebraica como una suma de fracciones algebraicas más sencillas
El primer paso es factorizar el denominador, lo cual nos dará diferentes tipos de raíces (según el tipo de raíces, se sigue un proceso u otro):
– Raíces Reales Simples. Ejemplo:
– Raíces Reales Múltiples. Ejemplo:
– Raíces reales Simples y Múltiples. Ejemplo:
– Raíces Complejas
– ..