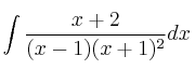
Integrales Racionales con raíces reales simples y múltiples
Cuando al factorizar el denominador de una fracción algebraica aparecen raíces reales simples y raíces reales múltiples, debemos combinar ambos métodos: raíces simples y raíces múltiples.
Ejemplo:


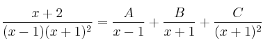
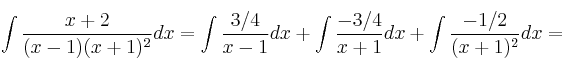
Realizamos la suma en la parte derecha del signo igual

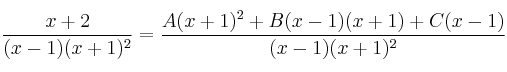
Igualamos numeradores:
![]()
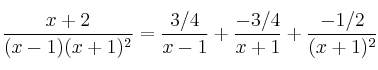
Damos 3 valores arbitrarios a x:
– Si
– Si
– Si 
Por tanto:

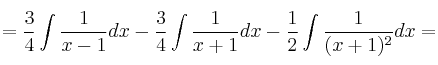
Y ahora la integral resultante es una suma de inmediatas


