Inversa de una función exponencial

Ejercicios_Resueltosfuncionesfunción_inversa

Dada la función exponencial f(x)= 5^x :

a) Escribe la función logarítmica g(x) que es inversa de la anterior.
b) Calcula f(1).
c) ¿Cuánto valdría g(5)?

SOLUCIÓN

a) f(x)= 5^x se puede expresar también como y=5^x

Para calcular la inversa:

1) cambiamos "x" por "y"

x=5^y

2) despejamos "y". Al esta en un exponente debemos tomar logaritmos:

x=5^y

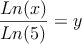
Ln(x)=Ln \left(5^y \right)

Ln(x)=y \cdot Ln (5)

\frac{Ln(x)}{Ln(5)}=y

La función que nos piden es g(x)=\frac{Ln(x)}{Ln(5)}

b) f(1)=5^1 = 5

c) g(5)=\frac{Ln(5)}{Ln(5)}=1

Comentar el ejercicio