Logaritmos
(47) ejercicios de Logaritmos
-
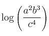
Aplica las propiedades de los logaritmos para desarrollar la expresión

-
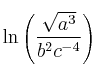
Aplica las propiedades de los logaritmos para desarrollar la expresión

-
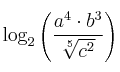
Aplica las propiedades de los logaritmos para desarrollar la expresión
![\log_2 \left( \frac{a^4 \cdot b^3}{\sqrt[5]{c^2}} \right) \log_2 \left( \frac{a^4 \cdot b^3}{\sqrt[5]{c^2}} \right)](local/cache-TeX/ff99dffbef0301811568f0c4f9c6ca4d.png)
-
Expresa como un sólo logaritmo:

-
Expresa como un sólo logaritmo:
