Logaritmos
(47) ejercicios de Logaritmos
-
Elimina los logaritmos de la expresión:

-
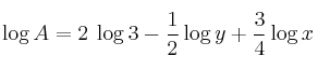
Elimina logaritmos en la siguiente expresión:

-
Elimina logaritmos en la siguiente expresión:

-
Elimina logaritmos en la siguiente expresión:

-
Elimina logaritmos de la expresión:

