• Apuntes
  • Vídeos
  • Ejercicios
    • Resueltos
    • Por Curso
      • 1º ESO
      • 2º ESO
      • 3º ESO
      • 4º ESO
      • 1º BACH. CIENCIAS
      • 1º BACH. SOCIALES
      • 2º BACH. CIENCIAS
      • 2º BACH. SOCIALES
  • Más recursos
    • Actividades Interactivas
    • Selectividad (PAU)
    • Acceso Mayores 25
    • LaTeX
Inicio ›EJERCICIOS de Matemáticas ›1º BACH. SOC. ›Números Reales ›Representación gráfica de Irracionales

Representación gráfica de Irracionales

Ejercicios_Resueltosirracionalesrecta_realrepresentacion_irracionales

Representa en la recta real el número \sqrt{8}

SOLUCIÓN

Para representar \sqrt{8} debemos encontrar un triángulo cuya hipotenusa sea \sqrt{8}

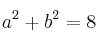
Debemos encontrar dos números tales que a^2+b^2=8
que serán: 2^2+2^2=8

Una vez que tenemos la medida exacta de \sqrt{8}, la trasladamos (con ayuda de un compás) a la recta real

Comentar el ejercicio

  • 1º BACH. SOC.
    • Funciones
    • Inecuaciones
    • Logarítmos
    • Números Reales
    • Polinomios
    • Estadística
    • Probabilidad
    • Variables Aleatorias Unidimensionales
    • Ecuaciones y Sistemas
    • Límites y Derivadas
    • Exámenes
    • Variables Aleatorias bidimensionales
    • Matemática Financiera
  • Mapa del sitio
  • Conectarse
  • 2001-2026 — Matemáticas IES — Contactar con Dani