Sistemas de ecuaciones
(19) ejercicios de Sistemas de ecuaciones
-
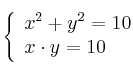
Resuelve el sistema de ecuaciones:

-
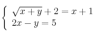
Resuelve el siguiente sistema de ecuaciones:

-
Un cajero tiene 188 billetes que suponen un importe total de 7360 euros. Sabiendo que sólo dispone de dos tipos de billetes (de 50 euros y de 20 euros), plantea y resuelve un sistema de ecuaciones que te permita averiguar cuántos billetes tiene de cada tipo
-
Un grupo de estudiantes organiza una excursión para lo cual alquilan un autocar cuyo precio es de 540 euros. Al salir, no se presentan 6 estudiantes y esto hace que cada uno de los otros pague 3 euros más. Calcula el número de estudiantes que fueron a la excursión y que cantidad pagó cada uno.

