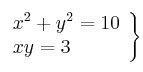
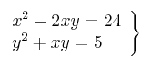
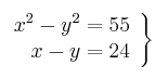
Sistemas de ecuaciones

(19) ejercicios de Sistemas de ecuaciones