Sucesiones
(50) ejercicios de Sucesiones
-
Halla el término general de la sucesión:

-
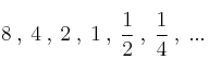
Halla el término general de la sucesión:

-
Hallar el término general de la sucesión:

-
Hallar el término general de la sucesión:

-
Hallar el término general de la sucesión:
