Sucesiones
(50) ejercicios de Sucesiones
-
Halla los términos 6 y 7 de la sucesión 3, 8, 15, 24, 35, ..
-
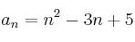
Halla los cuatro primeros términos de la sucesión de término general
-
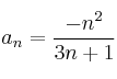
Halla los cuatro primeros términos de la sucesión de término general
-
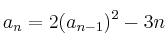
Halla cuatro términos de la sucesión definida por:
; 
-
En una progresión aritmética el cuarto término es -11 y el séptimo es -23. Calcula el término general