• Apuntes
  • Vídeos
  • Ejercicios
    • Resueltos
    • Por Curso
      • 1º ESO
      • 2º ESO
      • 3º ESO
      • 4º ESO
      • 1º BACH. CIENCIAS
      • 1º BACH. SOCIALES
      • 2º BACH. CIENCIAS
      • 2º BACH. SOCIALES
  • Más recursos
    • Actividades Interactivas
    • Selectividad (PAU)
    • Acceso Mayores 25
    • LaTeX
Inicio ›EJERCICIOS de Matemáticas ›1º BACH. SOC. ›Ecuaciones y Sistemas ›ecuaciones bicuadradas

ecuaciones bicuadradas

💬 1

  ecuacionesecuaciones_bicuadradas

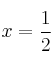
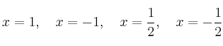
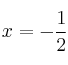
Resuelve la ecuación: 4x^4 - 5x^2 + 1= 0

SOLUCIÓN

x=1 , x=-1 , x=\frac{1}{2}, x=-\frac{1}{2}

Comentar el ejercicio

Mensajes

  • 17 de noviembre de 2006, 18:22

    x=1, \quad x=-1,  \quad x=\frac{1}{2},  \quad x=-\frac{1}{2}

  • 1º BACH. SOC.
    • Funciones
    • Inecuaciones
    • Logarítmos
    • Números Reales
    • Polinomios
    • Estadística
    • Probabilidad
    • Variables Aleatorias Unidimensionales
    • Ecuaciones y Sistemas
    • Límites y Derivadas
    • Exámenes
    • Variables Aleatorias bidimensionales
    • Matemática Financiera
  • Mapa del sitio
  • Conectarse
  • 2001-2026 — Matemáticas IES — Contactar con Dani