• Apuntes
  • Vídeos
  • Ejercicios
    • Resueltos
    • Por Curso
      • 1º ESO
      • 2º ESO
      • 3º ESO
      • 4º ESO
      • 1º BACH. CIENCIAS
      • 1º BACH. SOCIALES
      • 2º BACH. CIENCIAS
      • 2º BACH. SOCIALES
  • Más recursos
    • Actividades Interactivas
    • Selectividad (PAU)
    • Acceso Mayores 25
    • LaTeX
Inicio ›EJERCICIOS de Matemáticas ›1º BACH. SOC. ›Logarítmos ›ecuaciones logaritmicas

ecuaciones logaritmicas

💬 1

  ecuacionesEjercicios_Resueltoslogaritmos

Resuelve la ecuación:  3 - \log 125 = (x^2-5x+9) \cdot \log 2

Comentar el ejercicio

Mensajes

  • 12 de febrero de 2007, 20:12, por dani

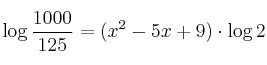
    3 - \log{125} = (x^2-5x+9) \cdot \log{2}
    \log{1000} - \log{125} = (x^2-5x+9) \cdot \log{2}
    \log{\frac{1000}{125}} = (x^2-5x+9) \cdot \log{2}
    \log{\frac{1000}{125}} = \log{2^{x^2-5x+9}}
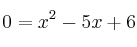
    \log{8} = \log{2^{x^2-5x+9}}
    \log{2^3} = \log{2^{x^2-5x+9}}
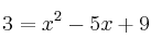
    3 = x^2-5x+9
    0 = x^2-5x+6
    Resolvemos la ecuación de segundo grado
    y se obtienen como soluciones: \fbox{x=2} y \fbox{x=3}

  • 1º BACH. SOC.
    • Funciones
    • Inecuaciones
    • Logarítmos
    • Números Reales
    • Polinomios
    • Estadística
    • Probabilidad
    • Variables Aleatorias Unidimensionales
    • Ecuaciones y Sistemas
    • Límites y Derivadas
    • Exámenes
    • Variables Aleatorias bidimensionales
    • Matemática Financiera
  • Mapa del sitio
  • Conectarse
  • 2001-2026 — Matemáticas IES — Contactar con Dani