ecuaciones logaritmicas
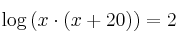
Resuelve la ecuación ![]()
SOLUCIÓN
![]()
![]()
![]()
![]()
![]()
![]()
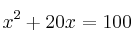
Resolvemos la ecuación de segundo grado.

Ahora debemos comprobar las soluciones, pues recordemos que en el argumento de un logaritmo no puede haber números menores o iguales a cero (no existe el logaritmo de números negativos ni de cero).
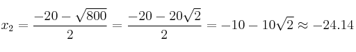
Simplificamos las soluciones para obtener un valor aproximado

Las soluciones quedarían:
–
– 
La segunda solución no es válida porque daría lugar a un logaritmo negativo.
La solución válida es
