ecuaciones logaritmicas y exponenciales 💬 1 ecuacionesecuaciones_exponencialesEjercicios_Resueltos Resuelve la ecuación Comentar el ejercicio Mensajes 15 de febrero de 2007, 00:43, por dani Hacemos el cambio de variable: Sustituimos en la ecuación original: Resolvemos la ecuación de segundo grado (incógnita t) Deshacemos el cambio de variable y obtenemos dos ecuaciones: – –
Mensajes
15 de febrero de 2007, 00:43, por dani
Hacemos el cambio de variable:


Sustituimos en la ecuación original:
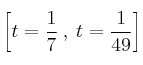
Resolvemos la ecuación de segundo grado (incógnita t)
Deshacemos el cambio de variable y obtenemos dos ecuaciones:
–
–