ecuaciones logaritmicas y exponenciales
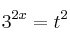
Resuelve la ecuación ![]()
SOLUCIÓN
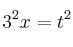
![]()
– Realizamos el cambio de variable
– Entonces
– Sustituimos en la ecuación original
– Resolvemos la ecuación de segundo grado (con la incógnita t) y obtenemos como soluciones
y
– Deshacemos el cambio de variable:
y
y resolvemos las dos ecuaciones resultantes:
–
–
(como 2 no se puede expresar como potencia de 3, se resuelve tomando logaritmos)
– 
Mensajes
8 de febrero de 2007, 21:38, por dani
– Realizamos el cambio de variable
– Entonces
– Sustituimos en la ecuación original
– Resolvemos la ecuación de segundo grado (con la incógnita t) y obtenemos como soluciones
– Deshacemos el cambio de variable:
–
–
–