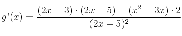
funciones derivadas 💬 2 derivada de una funciónEjercicios_Resueltosfunciones Calcula la función derivada de las siguientes funciones: – a) – b) SOLUCIÓN – a) – a) Ver explicación en vídeo Comentar el ejercicio Mensajes 11 de noviembre de 2012, 06:25 hola me puede enviar detallado como hicistes eso por favor a mi correo davidjosuedavidj@hotmail.com 27 de agosto de 2014, 08:51, por dani El ejercicio está explicado en el siguiente vídeo: http://matematicasies.com/17-Ejerci...
Mensajes
11 de noviembre de 2012, 06:25
hola me puede enviar detallado como hicistes eso por favor
a mi correo davidjosuedavidj@hotmail.com
27 de agosto de 2014, 08:51, por dani
El ejercicio está explicado en el siguiente vídeo:
http://matematicasies.com/17-Ejerci...