matemática financiera
Queremos comprar una vivienda y pedimos un crédito hipotecario de 100.000 € a pagar en 15 años y a un interés anual fijo del 5%
– a) Si lo voy pagando mensualmente ¿cuánto me costará cada cuota?
– b) Si sólo puedo ahorrar 400 € al mes, ¿Cuánto dinero puedo pedir prestado (como máximo) si el resto de las condiciones son las mismas que en el apartado anterior?
Mensajes
14 de febrero de 2007, 23:13, por dani
tiempo = 15 años
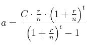
– a)
(mensual = 12 veces al año)
(cuota)
(número de cuotas)
Pagaríamos una cuota mensual de
– b)


Resultado obtenido tomando 30 cifras decimales (con una calculadora normal se obtendría aproximadamente 55.195)
2 de junio de 2012, 00:00, por LIZ
Hola, genial Mil gracias por ser tan "Docente" ,no te imaginas el tiempo que llevo tratando de entender como sacar el valor de la cuota , tu lo dejaste super claro...mil gracias —tengo parcial hoy.