polinomios factorizar

Ejercicios_Resueltosfactorizar_polinomios

Factoriza los siguientes polinomios:

 a) 4x^3 + 20x^2 -x -5
 b) x^4 +2x^3-4x^2 -5x - 6

SOLUCIÓN

 a) 4x^3 + 20x^2 -x -5

\polyhornerscheme[x=-5,resultstyle=\color{red},resultbottomrule,resultleftrule,resultrightrule]{4x^3 + 20x^2 -x -5}

4x^3 + 20x^2 -x -5= (x+5) \cdot (4x^2-1)

Veamos si podemos factorizar más resolviendo la ecuación de 2º grado:

4x^2-1=0 \longrightarrow 4x^2=1 \longrightarrow x^2=\frac{1}{4} \longrightarrow x=\pm \sqrt{\frac{1}{4}} = \pm \frac{1}{2}

Por tanto 4x^2-1= 4 \cdot \left( x-\frac{1}{2} \right) \cdot \left( x+\frac{1}{2} \right)

4x^3 + 20x^2 -x -5 = \fbox{ (x+5) \cdot 4 \cdot \left( x-\frac{1}{2} \right) \cdot \left( x+\frac{1}{2} \right) }

 b) x^4 +2x^3-4x^2 -5x - 6

\polyhornerscheme[x=2,resultstyle=\color{red},resultbottomrule,resultleftrule,resultrightrule]{x^4 +2x^3-4x^2 -5x - 6}

\polyhornerscheme[x=-3,resultstyle=\color{red},resultbottomrule,resultleftrule,resultrightrule]{x^3+4x^2 +4x +3}

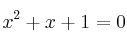
x^4 +2x^3-4x^2 -5x - 6 = \fbox{(x-2) \cdot (x+3) \cdot (x^2+x+1)}

Observe que x^2+x+1 no se puede factorizar, pues la ecuación de segundo grado x^2+x+1=0 no tiene soluciones reales:

x=\frac{-1\pm \sqrt{1^2-4 \cdot1\cdot1}}{2 \cdot1}=\frac{-1\pm \sqrt{-3}}{2}

Comentar el ejercicio