• Apuntes
  • Vídeos
  • Ejercicios
    • Resueltos
    • Por Curso
      • 1º ESO
      • 2º ESO
      • 3º ESO
      • 4º ESO
      • 1º BACH. CIENCIAS
      • 1º BACH. SOCIALES
      • 2º BACH. CIENCIAS
      • 2º BACH. SOCIALES
  • Más recursos
    • Actividades Interactivas
    • Selectividad (PAU)
    • Acceso Mayores 25
    • LaTeX
Inicio ›EJERCICIOS de Matemáticas ›3º ESO ›Polinomios ›polinomios operaciones

polinomios operaciones

división_clásica_polinomiosEjercicios_Resueltosoperaciones_con_polinomios

Calcula el cociente y el resto de las siguientes divisiones:

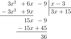
– a) (3x^2 + 6x - 9) : (x-3)
– b) (3x^3 - 2x^2 + 3x + 3) : (x^2+1)

SOLUCIÓN

– a) (3x^2 + 6x - 9) : (x-3)
Podemos hacer la división por Ruffini o por la división clásica de polinomios
División clásica

\polylongdiv[style=D]{3x^2 + 6x - 9}{x-3}

Por la regla de Ruffini

 \polyhornerscheme[x=3,resultstyle=\color{red},resultbottomrule,resultleftrule,resultrightrule]{3x^2 + 6x - 9}

En ambos casos tenemos:
– Cociente: 3x+15
– Resto: 36

– b) (3x^3 - 2x^2 + 3x + 3) : (x^2+1)
Hacemos la división clásica de polinomios

\polylongdiv[style=D]{3x^3 - 2x^2 + 3x + 3}{x^2+1}

– Cociente: 3x-2
– Resto: 5

Comentar el ejercicio

  • 3º ESO
    • Sistemas de ecuaciones
    • Ecuaciones
    • Polinomios
    • Radicales
    • Potencias
    • Proporcionalidad y Porcentajes
    • Números Reales
    • Funciones y Gráficas
    • Sucesiones
    • Probabilidad
    • Geometría
    • Estadística
    • Problemas especiales
  • Mapa del sitio
  • Conectarse
  • 2001-2026 — Matemáticas IES — Contactar con Dani