Cociente de polinomios (III)
Cociente de polinomios.
Parte III - Polinomio entre polinomio
Procedemos de igual forma que al dividir polinomio entre binomio
![]()
– Ordenamos el dividendo en forma decreciente (de mayor a menor).
– Si faltase algún término dejamos espacio en blanco.
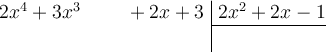
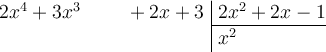
![\polylongdiv[style=D, stage=1]{2x^4+3x^3+2x+3}{2x^2+2x-1} \polylongdiv[style=D, stage=1]{2x^4+3x^3+2x+3}{2x^2+2x-1}](local/cache-TeX/27183f33df797f5add41b10264dcdbd7.png)
Dividimos el término de mayor grado del dividendo entre el término de mayor grado del divisor: ![]()
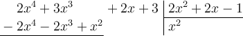
![\polylongdiv[style=D, stage=2]{2x^4+3x^3+2x+3}{2x^2+2x-1} \polylongdiv[style=D, stage=2]{2x^4+3x^3+2x+3}{2x^2+2x-1}](local/cache-TeX/5d5a2c1dd9a105e4f0f5202e715fb61f.png)
Multiplicamos el término obtenido
por el divisor y ponemos el resultado cambiado de signo bajo el dividendo
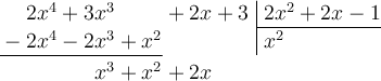
![\polylongdiv[style=D, stage=3]{2x^4+3x^3+2x+3}{2x^2+2x-1} \polylongdiv[style=D, stage=3]{2x^4+3x^3+2x+3}{2x^2+2x-1}](local/cache-TeX/474d317f11b824b699f27185a9bacf4b.png)
Sumamos. El primer término siempre se simplificará (si no se cancela, algo hemos hecho mal)
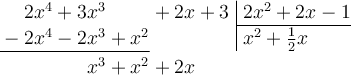
![\polylongdiv[style=D, stage=4]{2x^4+3x^3+2x+3}{2x^2+2x-1} \polylongdiv[style=D, stage=4]{2x^4+3x^3+2x+3}{2x^2+2x-1}](local/cache-TeX/c4ff0997071feda6c0d2af87910ce63b.png)
Volvemos a repetir el proceso: dividimos el término de mayor grado
del nuevo dividendo entre el el término de mayor grado
del divisor.
Observa que en este caso el resultado de la división no es entero:
![]()
![\polylongdiv[style=D, stage=5]{2x^4+3x^3+2x+3}{2x^2+2x-1} \polylongdiv[style=D, stage=5]{2x^4+3x^3+2x+3}{2x^2+2x-1}](local/cache-TeX/c7e94fbff4549212fafa32d24bac42f3.png)
No paramos hasta que el grado del resto sea menor que el grado del divisor
![\polylongdiv[style=D]{2x^4+3x^3+2x+3}{2x^2+2x-1} \polylongdiv[style=D]{2x^4+3x^3+2x+3}{2x^2+2x-1}](local/cache-TeX/11dbc8db04b624be9087f0f610bfbb8d.png)
Cociente: ![]()
Resto: ![]()