probabilidad con 3 monedas
Lanzamos tres monedas. Se pide:
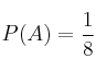
– a) probabilidad de obtener tres caras
– b) probabilidad de obtener al menos dos caras
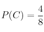
– c) probabilidad de obtener como mucho una cara
– d) probabilidad de no obtener ninguna cara
SOLUCIÓN
Al lanzar tres monedas obtenemos el siguiente Espacio Muestral compuesto por 8 sucesos elementales:
![]()
Sean los sucesos:
– A = "obtener tres caras"
– B = "obtener al menos dos caras"
– C = "obtener como mucho una cara"
– D = "no obtener ninguna cara"
Entonces las probabilidades serían:
–
–
–
– 
Mensajes
14 de marzo de 2007, 21:33, por dani
Al lanzar tres monedas obtenemos el siguiente Espacio Muestral compuesto por 8 sucesos elementales:
Sean los sucesos:
– A = "obtener tres caras"
– B = "obtener al menos dos caras"
– C = "obtener como mucho una cara"
– D = "no obtener ninguna cara"
Entonces las probabilidades serían:
–

–
–
–
6 de junio de 2015, 18:46, por vanessa
en la opcion C q dice: probabilidad de obtener una cara:
en ese caso seria 7/8 ya que tienes a:(ccc, ccx, cxc, xcc, cxx, xcx, xxc) o en otro caso seria: 378 ya q tienes: (cxx,xcx, xxc)
8 de junio de 2015, 12:01, por dani
En la opción c) dice "probabilidad de obtener como mucho una cara".
Como mucho una cara significa "como máximo una cara", es decir, obtener 0 caras u obtener 1 cara (serían 4 las opciones)
23 de noviembre de 2018, 00:42, por Laura Oviedo
No entiendo porque son 4 caras en vez de 3 no seria: ssc, css, scs no serian 3?
19 de marzo de 2020, 02:35, por Milagros Albelo
«porque en la segunda respuesta le pusieron 4/8,como se dan cuenta me explican?
19 de marzo de 2020, 06:42, por dani
"Al menos dos" significa "Dos o más",
Por tanto, entran las opciones que llevan 2 caras y las que llevan 3 caras, que son:
(cc+) (c+c) (+cc) (ccc)